Избор на телевизор от научна, а не от рекламна гледна точка
.td_uid_42_5ccc0f5868745_rand.td-a-rec-img{text-align:left}.td_uid_42_5ccc0f5868745_rand.td-a-rec-img img{margin:0 auto 0 0}
Ако решите да си вземете тв приемник, ще се сблъскате с цяла маркетингова вакханалия във връзка с резолюции, мегапиксели и какво ли още не. С течение на времето HD Ready резолюцията бе сменена от Full HD, а през днешния ден към този момент стават известни 4К и даже 8К.
Нека да погледнем на нещата от малко по-друга позиция и да се опитаме да разберем, какво тъкмо ни е належащо. Ще ни оказват помощ геометрията, която се преподава в учебните заведения, както и някои базови знания.
Невъоръженото око на средностатистическия човек е неповторим инструмент, който има ъгъл на виждане на околното пространство към 160°-175° и може да разграничава детайли под ъгъл 1—2′ (около 0,02°—0,03°). По-важното е, че бързото фокусиране върху обектите при младежите става на разстояние от 10 см до безконечност, а при хората на 50 години и нагоре – на разстояние от 50 см до безконечност .
.td_uid_41_5ccc0f5868486_rand.td-a-rec-img{text-align:left}.td_uid_41_5ccc0f5868486_rand.td-a-rec-img img{margin:0 auto 0 0}
Изглежда доста добре, само че на процедура изобщо не е толкоз просто.
По-долу е обещано изображението на полето на зрение на дясното око, като цифрите на скалата са градуси:
Оранжевото леке е мястото на проекцията на сляпото леке на очното дъно. Полето на зрение на двете очи не е с форма на вярна окръжност, тъй като е погледът е стеснен от носа от медиална страна и от клепачите от горната страна и изпод.
Ако наложим графиките на дясното и лявото око ще получим ето това:
За страдание, човешкото око не обезпечава еднообразно качество на зрението в необятен зрителен ъгъл. Да, с двете очи може да разпознаваме обектите в 180° обсег пред себе си, само че да разпознаваме триизмерни модели можем единствено в рамките на 110° (зелената зона в изображението), а пълноцветни – единствено в границите на 60°-70° (синята зона). При някои птици полето на зрение е 360°, само че ние разполагаме единствено с това.
Тоест, хората най-качествено възприемат изображенията при ъгъл на виждане от към 60°-70° . А когато е нужен по-голям обсег, нашите очи „бягат“ по изображението.
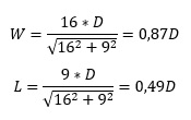
Да се върнем към тв приемниците. Нека се ограничим с известните модели с плосък екран и съответствие на страните 16:9.
Тоест, в изображението нагоре имаме W:L = 16:9, а D е диагоналът на екрана.
Оттук, благодарение на теоремата на Питагор можем да изчислим:
А в този момент, откакто знаем резолюциите:
HD Ready е 1280х720 пиксела:Full HD е 1920х1080 пикселаUltra HD 4K е 3840х2160 пиксела
Ще получим, че размерът на точката може да се изрази като:
HD Ready: D/1468,60 :
Full HD: D/2202,91
Ultra HD 4K: D/4405,81

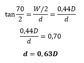
А в този момент да пресметнем оптималното разстояние до екрана, при което погледът може да обхване цялото изображение.
От по-горната схема е ясно, че:
И защото в един екран от широчината и височината по-голяма е широчината – т.е., окото би трябвало да обхване цялата ширина едновременно – да пресметнем оптималното разстояние до екрана, като несъмнено имаме поради, че зрителният ъгъл не трябва да надвишава 70 градуса:
Тоест, с цел да може окото да обхване целия екран по ширина, ние би трябвало да се намираме на разстояние не по-близо от малко над половината от диагонала на екрана . И още, това разстояние не би трябвало да е по-малко от 50 см, с цел да се обезпечи удобно гледане за хората на всякаква възраст. Да запомним това.
Сега да пресметнем дистанцията, от което хората могат да разграничат пикселите на екрана. Това си е същият триъгълник с тангенса на ъгъла, единствено че R в този случай е размерът на пиксела:
Тоест, при разстояние по-голямо от 2873,6 пъти размера на пиксела, окото не може да види и да разграничи наличната зърнистост. Или като се има поради размера на точката, обмислен нагоре, належащо е да се намираме на следните минимални дистанции от екрана, с цел да виждаме обикновено изображение:
HD Ready: D/1468,60 х 2873,6 = 1,96D или два пъти диагонала на екранаFull HD: D/2202,91 х 2873,6 = 1,3D – т.е., малко по-малко от един и половина пъти диагонала на екранаUltra HD 4K: D/4405,81 х 2873,6 = 0,65D или малко повече от половината от диагонала на екрана
ИзводиНе си коства да се седи на разстояние до екрана, по-близо от 50 см – окото не може обикновено да се концентрира върху изображението и след не доста дълго време ще би трябвало да се посети очния лекарНе си коства да се гледа от разстояние по-близо от 0,63 диагонала на екрана – окото би трябвало непрестанно да се движи по изображението, с цел да обхване целия облик, а това рисково уморява очитеАко възнамерявате да гледате тв приемник от разстояние по-голямо от двойния размер на диагонала на екрана, не си коства да се купува тв приемник с резолюция над HD Ready, тъй като няма да забележите разликатаАко възнамерявате да гледате тв приемник от разстояние по-голямо от веднъж и половина размера на диагонала на екрана, не си коства да се купува нещо с резолюция над Full HD, тъй като няма да забележите разликатаИзползването на 4К е оправдано, единствено в случай че дисплеят се гледа от разстояние по-малко от веднъж и половина на неговия диагонал, само че повече от половината на диагонала. Днес има такива тв приемници с огромен екран, има и геймърски монитори, само че е добре да се съобразим с казаното дотукИзползването на още по-големи резолюции надалеч не постоянно има смисъл, тъй като или няма да забележите разликата в показаната 4К картина или ще би трябвало да застанете покрай екрана, с цел да можете да видите и най-фините елементи, само че в този случай ще би трябвало непрестанно да движите погледа или даже главата си, с цел да обхванете цялото изображение. Проблемът отчасти може да се реши посредством закривен екран
А в този момент дано всеки мери своята стая, да огледа къде е ситуиран обичаният диван, да огледа какъв е размерът на диагонала на неговия тв приемник и да се замисли, дали има смисъл да заплаща повече.
Тук не са обсъждани характерности, като кадрова периодичност, контрастност, време за реакция на точката и така нататък Те несъмнено оказват въздействие, само че главните положения, изброени дотук си остават. А вие по какъв начин мислите?
.td_uid_43_5ccc0f5868963_rand.td-a-rec-img{text-align:left}.td_uid_43_5ccc0f5868963_rand.td-a-rec-img img{margin:0 auto 0 0}
Ако решите да си вземете тв приемник, ще се сблъскате с цяла маркетингова вакханалия във връзка с резолюции, мегапиксели и какво ли още не. С течение на времето HD Ready резолюцията бе сменена от Full HD, а през днешния ден към този момент стават известни 4К и даже 8К.
Нека да погледнем на нещата от малко по-друга позиция и да се опитаме да разберем, какво тъкмо ни е належащо. Ще ни оказват помощ геометрията, която се преподава в учебните заведения, както и някои базови знания.
Невъоръженото око на средностатистическия човек е неповторим инструмент, който има ъгъл на виждане на околното пространство към 160°-175° и може да разграничава детайли под ъгъл 1—2′ (около 0,02°—0,03°). По-важното е, че бързото фокусиране върху обектите при младежите става на разстояние от 10 см до безконечност, а при хората на 50 години и нагоре – на разстояние от 50 см до безконечност .
.td_uid_41_5ccc0f5868486_rand.td-a-rec-img{text-align:left}.td_uid_41_5ccc0f5868486_rand.td-a-rec-img img{margin:0 auto 0 0}
Изглежда доста добре, само че на процедура изобщо не е толкоз просто.
По-долу е обещано изображението на полето на зрение на дясното око, като цифрите на скалата са градуси:
Оранжевото леке е мястото на проекцията на сляпото леке на очното дъно. Полето на зрение на двете очи не е с форма на вярна окръжност, тъй като е погледът е стеснен от носа от медиална страна и от клепачите от горната страна и изпод.
Ако наложим графиките на дясното и лявото око ще получим ето това:
За страдание, човешкото око не обезпечава еднообразно качество на зрението в необятен зрителен ъгъл. Да, с двете очи може да разпознаваме обектите в 180° обсег пред себе си, само че да разпознаваме триизмерни модели можем единствено в рамките на 110° (зелената зона в изображението), а пълноцветни – единствено в границите на 60°-70° (синята зона). При някои птици полето на зрение е 360°, само че ние разполагаме единствено с това.
Тоест, хората най-качествено възприемат изображенията при ъгъл на виждане от към 60°-70° . А когато е нужен по-голям обсег, нашите очи „бягат“ по изображението.
Да се върнем към тв приемниците. Нека се ограничим с известните модели с плосък екран и съответствие на страните 16:9.
Тоест, в изображението нагоре имаме W:L = 16:9, а D е диагоналът на екрана.
Оттук, благодарение на теоремата на Питагор можем да изчислим:
А в този момент, откакто знаем резолюциите:
HD Ready е 1280х720 пиксела:Full HD е 1920х1080 пикселаUltra HD 4K е 3840х2160 пиксела
Ще получим, че размерът на точката може да се изрази като:
HD Ready: D/1468,60 :
Full HD: D/2202,91
Ultra HD 4K: D/4405,81 
А в този момент да пресметнем оптималното разстояние до екрана, при което погледът може да обхване цялото изображение.
От по-горната схема е ясно, че:
И защото в един екран от широчината и височината по-голяма е широчината – т.е., окото би трябвало да обхване цялата ширина едновременно – да пресметнем оптималното разстояние до екрана, като несъмнено имаме поради, че зрителният ъгъл не трябва да надвишава 70 градуса:
Тоест, с цел да може окото да обхване целия екран по ширина, ние би трябвало да се намираме на разстояние не по-близо от малко над половината от диагонала на екрана . И още, това разстояние не би трябвало да е по-малко от 50 см, с цел да се обезпечи удобно гледане за хората на всякаква възраст. Да запомним това.
Сега да пресметнем дистанцията, от което хората могат да разграничат пикселите на екрана. Това си е същият триъгълник с тангенса на ъгъла, единствено че R в този случай е размерът на пиксела:
Тоест, при разстояние по-голямо от 2873,6 пъти размера на пиксела, окото не може да види и да разграничи наличната зърнистост. Или като се има поради размера на точката, обмислен нагоре, належащо е да се намираме на следните минимални дистанции от екрана, с цел да виждаме обикновено изображение:
HD Ready: D/1468,60 х 2873,6 = 1,96D или два пъти диагонала на екранаFull HD: D/2202,91 х 2873,6 = 1,3D – т.е., малко по-малко от един и половина пъти диагонала на екранаUltra HD 4K: D/4405,81 х 2873,6 = 0,65D или малко повече от половината от диагонала на екрана
ИзводиНе си коства да се седи на разстояние до екрана, по-близо от 50 см – окото не може обикновено да се концентрира върху изображението и след не доста дълго време ще би трябвало да се посети очния лекарНе си коства да се гледа от разстояние по-близо от 0,63 диагонала на екрана – окото би трябвало непрестанно да се движи по изображението, с цел да обхване целия облик, а това рисково уморява очитеАко възнамерявате да гледате тв приемник от разстояние по-голямо от двойния размер на диагонала на екрана, не си коства да се купува тв приемник с резолюция над HD Ready, тъй като няма да забележите разликатаАко възнамерявате да гледате тв приемник от разстояние по-голямо от веднъж и половина размера на диагонала на екрана, не си коства да се купува нещо с резолюция над Full HD, тъй като няма да забележите разликатаИзползването на 4К е оправдано, единствено в случай че дисплеят се гледа от разстояние по-малко от веднъж и половина на неговия диагонал, само че повече от половината на диагонала. Днес има такива тв приемници с огромен екран, има и геймърски монитори, само че е добре да се съобразим с казаното дотукИзползването на още по-големи резолюции надалеч не постоянно има смисъл, тъй като или няма да забележите разликата в показаната 4К картина или ще би трябвало да застанете покрай екрана, с цел да можете да видите и най-фините елементи, само че в този случай ще би трябвало непрестанно да движите погледа или даже главата си, с цел да обхванете цялото изображение. Проблемът отчасти може да се реши посредством закривен екран
А в този момент дано всеки мери своята стая, да огледа къде е ситуиран обичаният диван, да огледа какъв е размерът на диагонала на неговия тв приемник и да се замисли, дали има смисъл да заплаща повече.
Тук не са обсъждани характерности, като кадрова периодичност, контрастност, време за реакция на точката и така нататък Те несъмнено оказват въздействие, само че главните положения, изброени дотук си остават. А вие по какъв начин мислите?
.td_uid_43_5ccc0f5868963_rand.td-a-rec-img{text-align:left}.td_uid_43_5ccc0f5868963_rand.td-a-rec-img img{margin:0 auto 0 0}
Източник: kaldata.com
КОМЕНТАРИ




