Намалиха обезщетенията за безработица
Това на процедура значи, че в случай че в 24-месечния референтен интервал за установяване размера на паричното обезщетение за безработица индивидът има доказан застрахователен интервал в друга страна членка на ЕС/ЕИП, размерът на компенсацията се дефинира от осигурителния приход през последния приключен застрахователен интервал, без значение от неговата дълготрайност и от това къде е приключен.
Прякото използване регламента от една страна пренебрегва един от главните правила, заложени в българското осигурително законодателство, а точно, че размерът на компенсациите и пенсиите зависи от осигурителния принос на лицата, и че с тях се заместват част от изгубените приходи вследствие на настъпил обезпечен риск, а от друга - слага в неравностойно състояние бенефициентите на ПОБ, които през 24-месечния референтен интервал са упражнявали активност единствено в България и размерът на компенсацията им се дефинира от трудовото възнаграждение/осигурителния приход за целия референтен интервал.
За превъзмогване на посочените пороци се сътвори нова алинея 8 в член 54б в Кодекса за обществено обезпечаване (КСО), в действие от 13 август 2024 година Съгласно нея, когато в 24-месечния референтен интервал, от който се дефинира среднодневното заплащане или среднодневният застрахователен приход, или в месеца, в който е прекъснато обезпечаването, се включва застрахователен стаж, добит по законодателството на страна, с която се ползват европейските регламенти за съгласуваност на системите за обществена сигурност, при установяване размера на паричното обезщетение за безработица се вземат поради приходите, получавани от лицето по време на последната му работа, както и всички приходи в България и в други страни членки за последните 24 календарни месеца, предхождащи месеца на преустановяване на обезпечаването.
По този метод се регламентира идентичен метод при установяване размера на компенсациите за безработица на лицата, упражнявали активност в други страни членки и на тези, работили единствено в България, като се регистрира цялостният застрахователен принос на работилите в други страни за 24-месечния референтен интервал по българското законодателство.
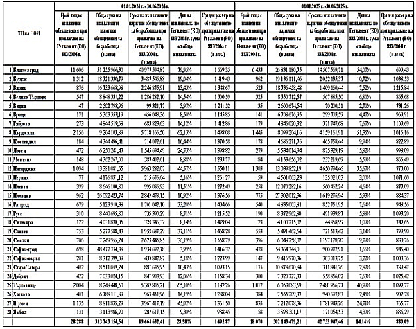
Ефектът от използване на новата наредба е показан в Таблица 1. От данните е видно, че в интервала след влизане в действие на алинея 8 на член 54б от КСО доста понижава броят на лицата с изплатени парични компенсации за безработица, отпуснати при използване на Регламент (ЕО) № 883/2004 – от 28 288 лица преди влизане в действие на наредбата на 18 070 след влизане в действие.
Делът на изплатените парични компенсации за безработица, изчислени при използване на Регламент (ЕО) №883/2004, от общата сума на изплатените парични компенсации за безработица е намалял повече от два пъти – от 28,58% на 14,14%.
За районите с максимален дял на изплатените парични компенсации за безработица, изчислени при използване на Регламента (в това число и по член 54б, алинея 8 от КСО), данните са както следва:
- Търговско предприятие на Национален осигурителен институт - Благоевград – от 79,95% на 54,07%, или понижението е с 25,88%;
- Търговско предприятие на Национален осигурителен институт – Кърджали – от 62,13% на 51,35%, или понижението е с 10,78%;
- Търговско предприятие на Национален осигурителен институт – Търговище - от 65,10% на 40,99%, или понижението е с 24,11%;
- Търговско предприятие на Национален осигурителен институт - Пазарджик – от 44,57% на 35,67%, или понижението е с 8,9%;
- Търговско предприятие на Национален осигурителен институт - Шумен – от 45,02% на 24,71%, или понижението е с 20,31%;
- Търговско предприятие на Национален осигурителен институт - Разград – от 33,20% на 17,64%, или понижението е с 15,56%;
- Търговско предприятие на Национален осигурителен институт - Смолян – от 36,19% на 19,79%, или понижението е с 16,40%;
- Търговско предприятие на Национален осигурителен институт - Сливен – от 37,11% на 13,14%, или понижението е с 23,97%;
Най-силно изразен е резултатът на деяние на наредбата на новата алинея върху средномесечния размер на компенсацията за безработица. За интервала 01.01.2024 г.-30.06.2024 година този размер е 1 492,87 лева, а за интервала 01.01.2025 г.-30.06.2025 година – 830,09 лева
При разбор на резултата от използването на наредбата на член 54б, алинея 8 от КСО следва да се регистрира и събитието, че в изплатените парични компенсации през 2025 година забележителен е делът на тези, чийто размер е избран преди влизане в действие на наредбата.
Като се има поради доста по-ниския междинен размер на компенсациите, избран при използване на новата наредба, този резултат би бил много по-значим, когато интервалите на отпуснатите по остарелия ред компенсации се изчерпят и се регистрира разходът за компенсации – всички с избран размер при използване на алинея 8 на член 54б от КСО, допълват от Национален осигурителен институт.
Прякото използване регламента от една страна пренебрегва един от главните правила, заложени в българското осигурително законодателство, а точно, че размерът на компенсациите и пенсиите зависи от осигурителния принос на лицата, и че с тях се заместват част от изгубените приходи вследствие на настъпил обезпечен риск, а от друга - слага в неравностойно състояние бенефициентите на ПОБ, които през 24-месечния референтен интервал са упражнявали активност единствено в България и размерът на компенсацията им се дефинира от трудовото възнаграждение/осигурителния приход за целия референтен интервал.
За превъзмогване на посочените пороци се сътвори нова алинея 8 в член 54б в Кодекса за обществено обезпечаване (КСО), в действие от 13 август 2024 година Съгласно нея, когато в 24-месечния референтен интервал, от който се дефинира среднодневното заплащане или среднодневният застрахователен приход, или в месеца, в който е прекъснато обезпечаването, се включва застрахователен стаж, добит по законодателството на страна, с която се ползват европейските регламенти за съгласуваност на системите за обществена сигурност, при установяване размера на паричното обезщетение за безработица се вземат поради приходите, получавани от лицето по време на последната му работа, както и всички приходи в България и в други страни членки за последните 24 календарни месеца, предхождащи месеца на преустановяване на обезпечаването.
По този метод се регламентира идентичен метод при установяване размера на компенсациите за безработица на лицата, упражнявали активност в други страни членки и на тези, работили единствено в България, като се регистрира цялостният застрахователен принос на работилите в други страни за 24-месечния референтен интервал по българското законодателство.
Ефектът от използване на новата наредба е показан в Таблица 1. От данните е видно, че в интервала след влизане в действие на алинея 8 на член 54б от КСО доста понижава броят на лицата с изплатени парични компенсации за безработица, отпуснати при използване на Регламент (ЕО) № 883/2004 – от 28 288 лица преди влизане в действие на наредбата на 18 070 след влизане в действие.
Делът на изплатените парични компенсации за безработица, изчислени при използване на Регламент (ЕО) №883/2004, от общата сума на изплатените парични компенсации за безработица е намалял повече от два пъти – от 28,58% на 14,14%.
За районите с максимален дял на изплатените парични компенсации за безработица, изчислени при използване на Регламента (в това число и по член 54б, алинея 8 от КСО), данните са както следва:
- Търговско предприятие на Национален осигурителен институт - Благоевград – от 79,95% на 54,07%, или понижението е с 25,88%;
- Търговско предприятие на Национален осигурителен институт – Кърджали – от 62,13% на 51,35%, или понижението е с 10,78%;
- Търговско предприятие на Национален осигурителен институт – Търговище - от 65,10% на 40,99%, или понижението е с 24,11%;
- Търговско предприятие на Национален осигурителен институт - Пазарджик – от 44,57% на 35,67%, или понижението е с 8,9%;
- Търговско предприятие на Национален осигурителен институт - Шумен – от 45,02% на 24,71%, или понижението е с 20,31%;
- Търговско предприятие на Национален осигурителен институт - Разград – от 33,20% на 17,64%, или понижението е с 15,56%;
- Търговско предприятие на Национален осигурителен институт - Смолян – от 36,19% на 19,79%, или понижението е с 16,40%;
- Търговско предприятие на Национален осигурителен институт - Сливен – от 37,11% на 13,14%, или понижението е с 23,97%;
Най-силно изразен е резултатът на деяние на наредбата на новата алинея върху средномесечния размер на компенсацията за безработица. За интервала 01.01.2024 г.-30.06.2024 година този размер е 1 492,87 лева, а за интервала 01.01.2025 г.-30.06.2025 година – 830,09 лева
При разбор на резултата от използването на наредбата на член 54б, алинея 8 от КСО следва да се регистрира и събитието, че в изплатените парични компенсации през 2025 година забележителен е делът на тези, чийто размер е избран преди влизане в действие на наредбата.
Като се има поради доста по-ниския междинен размер на компенсациите, избран при използване на новата наредба, този резултат би бил много по-значим, когато интервалите на отпуснатите по остарелия ред компенсации се изчерпят и се регистрира разходът за компенсации – всички с избран размер при използване на алинея 8 на член 54б от КСО, допълват от Национален осигурителен институт.
Източник: frognews.bg
КОМЕНТАРИ




