СДВР в отговор към OFFNews: Хиляди полицаи са охранявали протестите срещу Гешев и ``Борисов 3`` |
След продължителите месеци наред митинги против третото държавно управление на Бойко Борисов и против основния прокурор Иван Гешев без отговор оставаше въпросът какъв брой служители на реда са пазили публичния ред тогава.
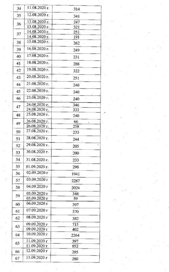
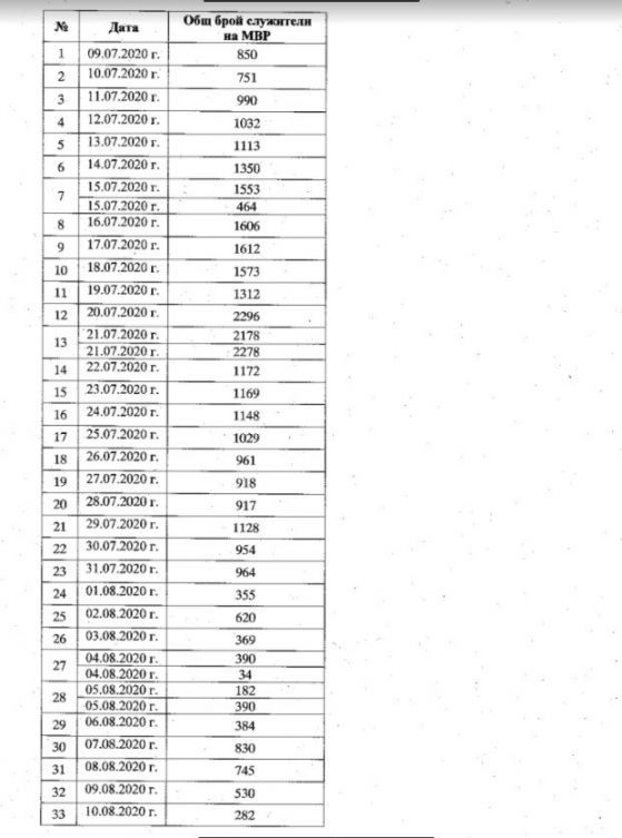
OFFNews изпрати питане към Министерство на вътрешните работи и Столична дирекция на вътрешните работи за броя на чиновниците на Министерството на вътрешните работи, охранявали митингите сред 9 юли и 30 септември 2020 година Отговорът на Столичната дирекция е, че за тези 84 дни са се провели голям брой протестни мероприятия в столицата, за множеството от които има план-разстановка.
Снимка: Сергей Антонов/OFFNews, 2 септември 2020 - Велико национално въстание I
" В някои от дните са провеждани по няколко мероприятия, като участващите в защитата им чиновници постоянно са били едни и същи ", прибавят оттова. От СДВР предупреждават, че математическото изчисление на сбора от чиновници няма да отрази действителния брой.
От отговора излиза наяве, че с изключение на чиновници на Столична дирекция на вътрешните работи, в защитата са взели участие жандармеристи и служители на реда от ОДМВР. От предходен отговор по ЗДОИ на Министерство на вътрешните работи излиза наяве, че са били командировани чиновници от всички регионални дирекции без Хасково, както и жандармеристи от Кърджали, Монтана, Пловдив, Плевен, Варна и Бургас.
Протестите са били охранявани от хиляди служители на реда. Най-много са били на 20 юли - 2296. Тогава, на 12-ия ден от началото им, беше. На 20 юли бяха я - на Народното събрание, Министерския съвет, Българска национална телевизия, Орлов мост, Попа и Първо районно ръководство.
На 21 юли е имало няколко митинга, като служителите на реда са били 2178 и 2278. Не излиза наяве дали са едни и същи чиновници, към които са се включили още 100 души, или са общо 4456. 21 юли беше денят, в който се гласоподава вотът на съмнение, импортиран от водача на Българска социалистическа партия Корнелия Нинова. Същият ден беше проведена и акция от жители, които, който преди този момент беше в Брюксел.
Ето и общия брой чиновници на Министерство на вътрешните работи, охранявали антиправителствените митинги от 9 юли до 30 септември 2020 година:
OFFNews изпрати питане към Министерство на вътрешните работи и Столична дирекция на вътрешните работи за броя на чиновниците на Министерството на вътрешните работи, охранявали митингите сред 9 юли и 30 септември 2020 година Отговорът на Столичната дирекция е, че за тези 84 дни са се провели голям брой протестни мероприятия в столицата, за множеството от които има план-разстановка.
Снимка: Сергей Антонов/OFFNews, 2 септември 2020 - Велико национално въстание I
" В някои от дните са провеждани по няколко мероприятия, като участващите в защитата им чиновници постоянно са били едни и същи ", прибавят оттова. От СДВР предупреждават, че математическото изчисление на сбора от чиновници няма да отрази действителния брой.
От отговора излиза наяве, че с изключение на чиновници на Столична дирекция на вътрешните работи, в защитата са взели участие жандармеристи и служители на реда от ОДМВР. От предходен отговор по ЗДОИ на Министерство на вътрешните работи излиза наяве, че са били командировани чиновници от всички регионални дирекции без Хасково, както и жандармеристи от Кърджали, Монтана, Пловдив, Плевен, Варна и Бургас.
Протестите са били охранявани от хиляди служители на реда. Най-много са били на 20 юли - 2296. Тогава, на 12-ия ден от началото им, беше. На 20 юли бяха я - на Народното събрание, Министерския съвет, Българска национална телевизия, Орлов мост, Попа и Първо районно ръководство.
На 21 юли е имало няколко митинга, като служителите на реда са били 2178 и 2278. Не излиза наяве дали са едни и същи чиновници, към които са се включили още 100 души, или са общо 4456. 21 юли беше денят, в който се гласоподава вотът на съмнение, импортиран от водача на Българска социалистическа партия Корнелия Нинова. Същият ден беше проведена и акция от жители, които, който преди този момент беше в Брюксел.
Ето и общия брой чиновници на Министерство на вътрешните работи, охранявали антиправителствените митинги от 9 юли до 30 септември 2020 година:
Източник: offnews.bg
КОМЕНТАРИ




