Психолози установиха, че наличието на деца не прави човек по-щастлив
Според резултатите от проучване, извършено от лекар Ансгар Худде и професор Марита Якоб от катедрата по социология и обществена логика на психиката на Кьолнския университет, родителството е обвързвано с по-ниско равнище на задоволеност от живота, само че в същото време с по-силно чувство за смисъл. Тези заключения са оповестени в списание Journal of Marriage and Family.
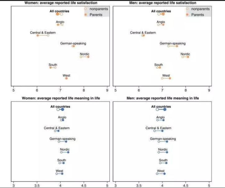
В рамките на новото проучване учените другар данни от над 43 000 души от 30 страни. Тези хора вземат участие в Европейско обществено изследване.
Оказва се, че хората с деца не стават автоматизирано по-щастливи. Въпреки това, те с по-голяма възможност усещат, че животът им има смисъл и стойност.
Освен това връзката сред родителството и удовлетвореността от живота може да варира според от обществените условия и националния подтекст. При разглеждане на дами с невисок социално-икономически статус, тези с деца се усещат по-малко щастливи спрямо дамите без деца. В същото време при дами с по-висок социално-икономически статус и при мъжете като...
Прочетете целия материал в cash.bg
В рамките на новото проучване учените другар данни от над 43 000 души от 30 страни. Тези хора вземат участие в Европейско обществено изследване.
Оказва се, че хората с деца не стават автоматизирано по-щастливи. Въпреки това, те с по-голяма възможност усещат, че животът им има смисъл и стойност.
Освен това връзката сред родителството и удовлетвореността от живота може да варира според от обществените условия и националния подтекст. При разглеждане на дами с невисок социално-икономически статус, тези с деца се усещат по-малко щастливи спрямо дамите без деца. В същото време при дами с по-висок социално-икономически статус и при мъжете като...
Прочетете целия материал в cash.bg
Източник: cash.bg
КОМЕНТАРИ




