Произходът на мъжкия и женския символ
Класическите знаци за женско и мъжко имат доста смисли – на две планети, на желязо, на мед и на няколко божества. Ето по какъв начин се появяват.
Когато античните хора следили придвижването на небесните тела и измененията на планетата ни, напълно естествено вземат решение, че има някаква взаимовръзка. Така и учените от това време почнали да изследват галактическите тела, с цел да могат по-добре да предскажат и надлежно да се приготвят за бъдещето. Така почнали и асоциациите на боговете с небесните тела – Меркурий, Венера, Марс, Юпитер (Зевс), Сатурн (Кронос).
Всяко небесно тяло, дружно с божеството, което му подхожда, се асоциира с избран метал. Например, Слънцето (Хелиос) се асоциира със злато (въпреки че слънцето е бяло в уловимия от индивида набор, а не жълто), Марс се асоциира с твърдият червен метал, употребен за изработката на оръжия – желязото, а Венера – с мекия метал, който може да позеленее: мед.
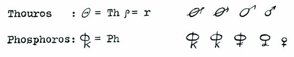
Когато пишат за тези метали, гърците ги назовават с прилежащите им богове. След време имената на боговете стартират да се редуцират за по-лесно и по този начин, да вземем за пример, от Марс (Thouros) и Венера (Phosphorus) се получават следните знаци:
Изображение: www.todayifoundout.com/
През средновековието европейските алхимици също употребявали тези знаци, които по-късно останали и през Ренесанса и били употребени от хора като Карл Линей, бащата на модерната таксономия, разпространявал практиката биологичните типове да имат две названия – на латински и това, което ние употребяваме.
Карл Линей
Линей е и първият, които употребява знаците в биологичен подтекст – в труда си „ Plantae hybridae “ от 1751, където ползва признака на Венера, с цел да означи женския родител на хибридно растение, и признака за Марс, с цел да означи мъжкия. Той продължава да употребява знаците и за в бъдеще като в „ Species Plantarum “ от 1753 към този момент са залегнали с това значение в речника му.
Следвайки стъпките на Карл, доста ботаници също стартират да отбелязват женско и мъжко по този метод и по този начин постепенно, само че несъмнено знаците се одобряват и от зоологията, човешката биология и по-късно в генетиката.




